
Różne oblicza odchylenia standardowego
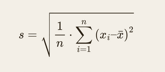
Odchylenie standardowe oraz wariancja to miary statystyczne, które wyliczane są przy wykorzystaniu różnych wzorów, czasem mylonych...
Pomagamy wiedzieć więcej
Wszechnica Wszechwiedzy, to miejsce, gdzie publikowane są i będą artykuły z wielu dziedzin wiedzy, będące efektem przemyśleń i doświadczeń zdobytych podczas świadczenia usług edukacyjnych, w ramach serwisu wszechwiedza.pl, gdzie od ponad 20 lat, a dokładnie od roku 2003, pomoc w najróżniejszego rodzaju problemach związanych ze studiowaniem, znajdują kolejne pokolenia studentów najróżniejszych kierunków.
W ciągu tych już ponad dwudziestu lat, pomogliśmy czterocyfrowej liczbie naszych Klientów, pomagając im w zdobyciu upragnionego dyplomu, a kilkunastu spośród nich legitymuje się nawet tytułem doktora i wyższymi tytułami naukowymi.
Skupiamy się głównie na przedmiotach ścisłych, związanych z matematyką, ekonomią, informatyką, rachunkowością, finansami, czy szeroko pojętą inżynierią, ale jesteśmy elastyczni i wielokrotnie udało nam się udzielić skutecznej pomocy z całkowicie humanistycznych dziedzin...
Wierzymy, że publikowane artykuły pomogą Państwu w nauce a być może zachęcą przyszłe pokolenia korepetytorów do kontynuowania realizacji tego wspaniałego powołania.
Z pozdrowieniami
Sebastian Dziarmaga-Działyński
Odchylenie standardowe oraz wariancja to miary statystyczne, które wyliczane są przy wykorzystaniu różnych wzorów, czasem mylonych...
Metoda graficzna, to podstawowa metoda rozwiązywania zadań programowania liniowego.
Wprowadzenie Jednym z zagadnień statystyki opisowej, gdzie wśród autorów podręczników i nauczycieli akademickich nie ma konsensusu, jest kwestia obliczania kwantyli (w szczególności…